Par Laurent Cordonier et Aurélien Brest.
Selon Reporters sans frontières, nous sommes entrés dans une ère de polarisation des médias, susceptible d’entraîner des fractures au sein des pays. La France n’échapperait pas à cette tendance, avec l’apparition de nouveaux médias d’opinion. Il est vrai que, sur Internet notamment, l’offre médiatique est aujourd’hui pléthorique. Chacun peut dès lors trouver le média qui correspond à ses préférences politiques.
Mais, au-delà de ce constat, que sait-on vraiment des critères qui influencent le choix des canaux par lesquels nous nous informons ? Dans une étude pour la Fondation Descartes publiée dans Mass Communication & Society, nous avons obtenu des réponses plutôt nuancées en ce qui concerne l’usage effectif des médias en France et l’influence de la proximité politique.
Une question d’orientation politique à relativiser
L’orientation politique des médias semble bien être un facteur qui compte dans ce choix. En effet, nous aurions tendance à préférer nous exposer à des informations qui vont dans le sens de nos opinions politiques – un phénomène que les chercheurs nomment « exposition sélective ». Aux États-Unis par exemple, la très républicaine chaîne Fox News est plébiscitée par les électeurs conservateurs, tandis que les progressistes affirment l’éviter et disent lui préférer CNN, située sur une ligne plus démocrate.
Cette exposition préférentielle à des médias du même bord politique s’expliquerait en partie par le fait que nous leur ferions davantage confiance. Des études montrent en effet que les individus estiment que les médias qui vont dans le sens de leurs opinions sont moins biaisés, et donc potentiellement plus dignes de confiance, que ceux qui proposent un point de vue opposé au leur.
Le risque d’une telle exposition sélective serait de nous enfermer dans une « chambre d’écho » médiatique, au sein de laquelle nos opinions se trouveraient systématiquement validées et renforcées. Cette situation pourrait à son tour conduire à une polarisation croissante de la société.
L’hypothèse de l’exposition sélective sur Internet est pourtant remise en question par un certain nombre de chercheurs. En effet, les données empiriques qui laissent penser à l’existence du phénomène proviennent essentiellement de questionnaires et de sondages adressés à la population. Or, on sait que de telles données déclaratives ne reflètent pas toujours fidèlement le comportement informationnel effectif des individus, particulièrement sur Internet.
De plus, les études sur la question sont souvent réalisées aux États-Unis, pays bipartisan dont l’environnement politico-médiatique est beaucoup plus polarisé qu’en France, notamment. Il est donc risqué d’extrapoler directement les résultats d’études étasuniennes à d’autres contextes nationaux.
Le cas français
Lors de notre étude, nous avons dès lors testé l’hypothèse de l’exposition sélective en France, en comparant données déclaratives et comportementales.
Pour le faire, nous avons enregistré durant 30 jours le comportement sur Internet de 1536 Français issus d’un panel représentatif de la population. Nous avons en particulier mesuré leur exposition effective à 15 médias parmi les plus consultés dans le pays.
À la fin de cette période, nous avons interrogé ces mêmes participants sur :
- Leur exposition en ligne à chacun des 15 médias en question au cours des 30 jours précédents (exposition déclarée).
- Leur degré de confiance en chacun de ces médias.
- Leur orientation politique sur un continuum progressif-conservateur, établie au moyen de plusieurs questions sur des sujets de société.
Il ressort de nos analyses que l’exposition déclarée par les participants aux médias est influencée par le fait d’être plus ou moins progressiste ou conservateur. Par exemple, les participants progressistes ont plus de probabilités que les participants conservateurs de déclarer avoir consulté le site web du Monde au cours des 30 jours précédents (Figure 1).

Brest & Cordonier (2023), Mass Communication & Society
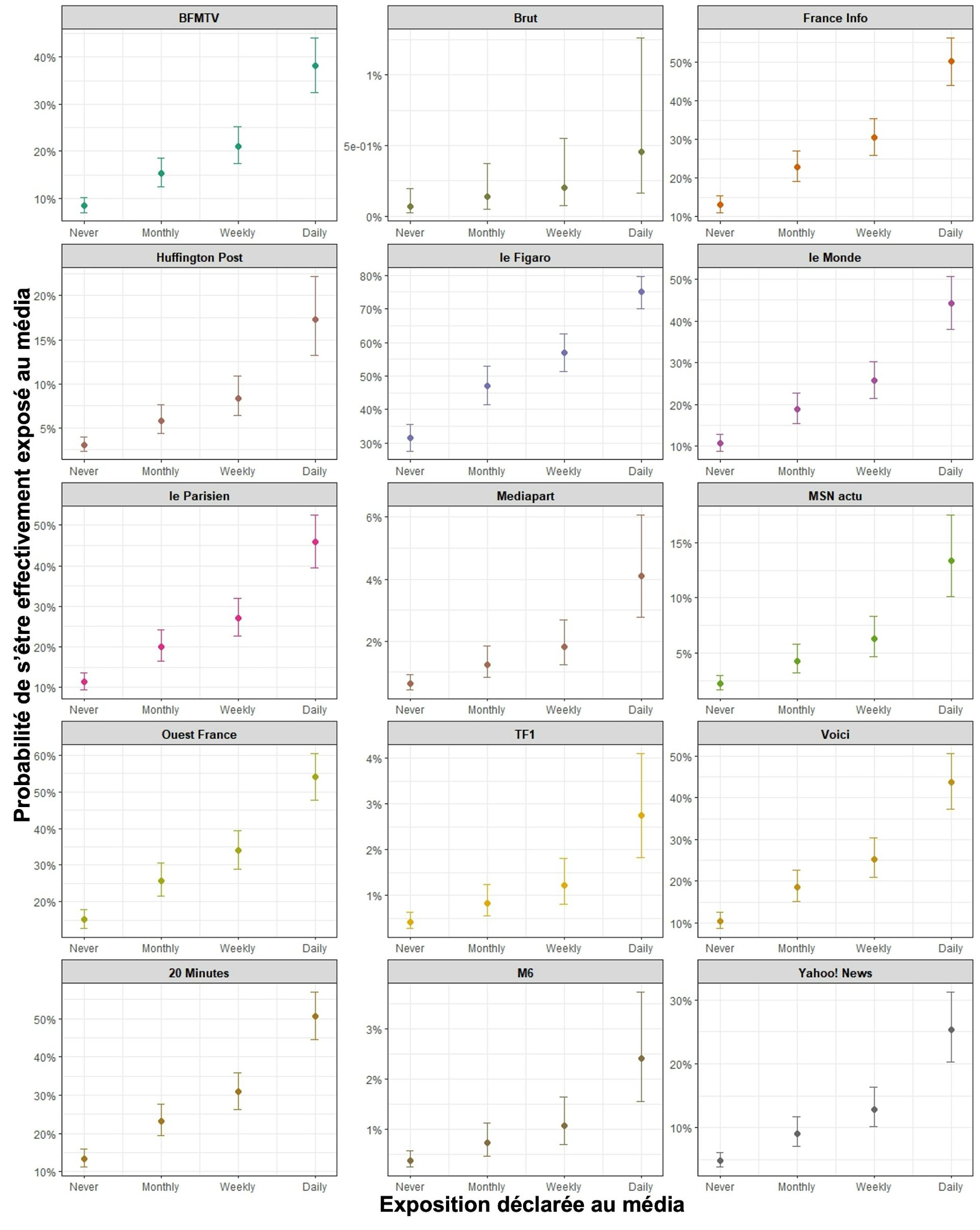
Cependant, cet effet de l’orientation politique des participants sur la consultation des médias diminue nettement dès lors que l’on s’intéresse à leur exposition effective à ces mêmes médias durant les 30 jours de l’étude (Figure 2) !

Brest & Cordonier (2023), Mass Communication & Society
De même, l’exposition déclarée aux médias est influencée par la confiance que les participants disent avoir en eux. En effet, les participants ont plus de probabilités de déclarer avoir consulté un média s’ils disent avoir confiance en lui (Figure 3).

Brest & Cordonier (2023), Mass Communication & Society
Mais là encore, cet effet de la confiance sur la consultation des médias devient très faible si l’on s’intéresse à l’exposition effective des participants aux médias en question (Figure 4).

Brest & Cordonier (2023), Mass Communication & Society
En résumé, les Français déclarent consulter des médias en lesquels ils ont confiance et dont ils partagent l’orientation politique, mais ces deux facteurs n’influencent que très peu leur comportement informationnel effectif sur Internet. Autrement dit, le phénomène d’exposition sélective en ligne est exagéré si on ne l’appréhende qu’au moyen de données déclaratives.
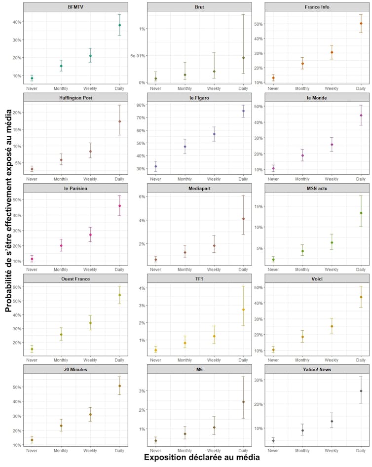
Soulignons tout de même que les données déclaratives ne sont pas totalement erronées. Il existe bien une corrélation entre le fait de déclarer consulter un média et le fait de le consulter effectivement (Figure 5). Cependant, la consultation déclarée est largement surestimée par rapport à la consultation effective.

Brest & Cordonier (2023), Mass Communication & Society
Pourquoi un tel écart en déclaration et usage ?
Pourquoi confiance et proximité politique n’influencent-elles pas davantage le choix des médias que consultent les Français sur Internet ?
Une première explication pourrait être que nous ne lisons pas les nouvelles dans le seul objectif d’acquérir des informations que nous jugeons importantes et vraies. Nous le faisons également pour nous distraire et nous divertir – faits divers et autres informations anecdotiques trouvent leur place dans la plupart des médias. Dans ce contexte de divertissement, qu’un média nous paraisse plus ou moins fiable ou politiquement proche sont des questions assez secondaires.
Une seconde explication, compatible avec la précédente, relève de la manière dont nous utilisons Internet pour nous informer. Comme nous l’avons montré dans une étude antérieure, les individus qui s’informent sur Internet papillonnent souvent d’une source à l’autre, ne passant que très peu de temps sur un même site (moins de deux minutes en moyenne). Nombre d’internautes se laissent ainsi guider par leur curiosité, parfois au hasard de la rencontre d’un article sur les réseaux sociaux, plutôt qu’ils ne s’informent en consultant de façon systématique un média donné. Or, c’est probablement plus le sujet de l’article que la fiabilité perçue du média ou sa proximité politique qui importe dans ce comportement de papillonnage.
Au final, les critères qui guident les individus dans le choix de leurs médias sur Internet demeurent largement mystérieux. En revanche, ce dont on peut être raisonnablement sûr, c’est que les internautes français ne s’enferment pas massivement dans des chambres d’écho médiatiques. Cela n’exclut pas pour autant le risque d’une polarisation croissante de notre société, notamment sous l’effet de campagnes de désinformation créant de violents clivages sur les réseaux sociaux.
Laurent Cordonier, Sociologue – Docteur en sciences sociales, Université Paris Cité et Aurélien Brest, Doctorant en sciences cognitives, Université de Bordeaux
Cet article est republié à partir de The Conversation sous licence Creative Commons. Lire l’article original.média
2 réponses
Il n’y a pas que l’orientation politique du média..il y aussi la fiabilité des informations..j’ai le regret de vous dire que certains médias racontent n’importe quoi..ils semblent prendre le désir des hommes politiques pour la réalité…c’est tout..
La polarisation autour de quel axe ? Progressiste vs conservateur ?
La seule polarisation que je constate est celle induite par le présidentialisme, en particulier par la personnification de la fonction. On est pour ou contre machin ou bidule, le plus souvent pour ces traits de personnalité ou de charisme, assez rarement pour les seules idées.